×
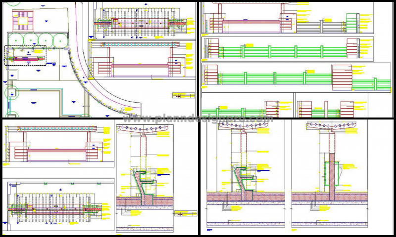
Trellis Design CAD Block- MS Frame with Wooden Rafters
This AutoCAD drawing features a detailed design of a trellis crafted with an MS (mild steel) frame and wood cladding, complete with wooden rafters to support plants and creepers. The DWG file includes plan, elevation, and sectional views, providing a comprehensive understanding of the trellis structure. Perfect for residential and commercial landscaping projects, this CAD design is ideal for architects and designers aiming to incorporate functional and decorative green elements. This trellis design is not only practical for plant support but also adds a stylish architectural touch to any space.
Product Details
| Category | Outdoor & Landscaping |
| Software | Autocad DWG |
| File ID | 1980 |
| Type | Paid |
Related Content
Browse By Category
(Streamline Your Design Process and save time)Most Clicked Content
Office Layout DWG Executive Floor- Cabins, Confrerence Rooms & Utility
This AutoCAD DWG file features a detailed layout for an executive offi ...
Electrical & Storage Cabinets in DWG- Storage Solution
This AutoCAD DWG drawing features two types of cabinets suitable for b ...
Hotel Mini Bar Unit DWG Design with Refrigerator and Details
This AutoCAD drawing provides a detailed design of a mini bar unit for ...
Shopping Mall Ground Floor DWG with Shops & Facilities
This AutoCAD layout plan provides a detailed design for the ground flo ...
HVAC and Layout Plan for 4-Storey Villa in AutoCAD
This AutoCAD drawing features a comprehensive layout plan and HVAC des ...
Bathroom Plan (9'-6x9') Toilet with Complete Details
This AutoCAD DWG drawing provides a detailed design for a toilet with ...














-Toilet-with-Complete-Details.jpg)















